O Tribunal de Contas da União (TCU), por meio de sua unidade técnica SecobEdif (Secretaria de Fiscalização de Obras Aeroportuárias e de Edificação), constituiu Grupo de Trabalho Interdisciplinar para fazer uma revisão dos parâmetros de BDI que vinham sendo utilizados resultando no Acórdão 2622/2013 - Plenário que teve como objetivo definir faixas aceitáveis de BDI (Benefícios e Despesas Indiretas).
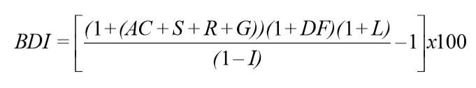
Fórmula do DBI aceitável pelo TCU:

Onde:
AC = Administração Central
S = Seguros da obra
R = Riscos de Engenharia
G = Garantias exigidas no edital
DF = Despesa Financeira
L = Lucro
I = Impostos incidentes sobre o preço do serviço (PIS, COFINS, ISS e CPRB, se for o caso)
Observa-se uma hipótese de duplicidade de custos com S e R visto que os riscos de engenharia podem ser segurados. Portanto, se a empresa foi esperta em fazer um Seguro de Risco de Engenharia então R=0 visto que tal custo estaria em S.
Não consegue entender a fórmula direito? Então leia o Acórdão 2622/2013 - Plenário que explica cada item pormenorizadamente.
O máximo já visto por alguns foi 28,02%, outros 31%, mas a média tem sido 26,02%. Claro que depende da obra e sua complexidade. Qual é a faixa média de BDI para o tipo de obra que você tem visto/participado? Comente no final da página.
BDI das empresas no SIMPLES conforme TCU
9.3.2.5. prever, nos editais de licitação, a exigência para que as empresas licitantes optantes pelo Simples Nacional apresentem os percentuais de ISS, PIS e COFINS discriminados na composição do BDI que sejam compatíveis com as alíquotas a que a empresa está obrigada a recolher, previstas no Anexo IV da Lei Complementar n. 123/2006, bem como que a composição de encargos sociais não inclua os gastos relativos às contribuições que essas empresas estão dispensadas de recolhimento (Sesi, Senai, Sebrae etc.), conforme dispões o art. 13, § 3º, da referida Lei Complementar;
Para isso a empresa precisa fazer os cálculos da alíquota efetiva do SIMPLES.
Links externos:
Entenda o acórdão 2622/2013 do TCU sobre BDI
Download:
- Login ou registre-se para postar comentários
- Versão para impressão
- Enviar por email



Comentários recentes